Montag, 25. April 2011

Analyseergebnisse

Für die richtige Extraktionsmenge in 25 Sekunden sind u.a. der Mahlgrad und die richtige Espressomenge relevant.

Außerdem werden noch der Wasserdruck und der Andruck in der Literatur angegeben. Allerdings lassen sich beide in meinem Umfeld nur schwer kontrollieren - daher sind es für mich eher Störgrößen als Steuergrößen. Daher werde ich mich vorerst auf die Faktoren
  1. Mahlgrad
  2. Menge
konzentrieren.

Folgender vollfaktorialer Versuchsaufbau soll dabei Aufschluss über die richtige Kombination geben:

SystemMahlgradMenge[g]
167
268
327
428
517
618
70,77
80,78

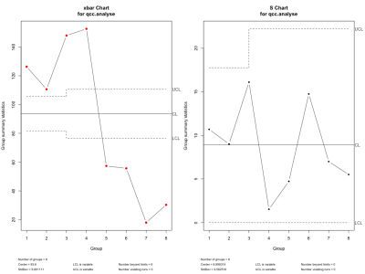
Die Messungen zeigen im Control Chart, dass die Unterschiede zwischen den Gruppen signifikant sind (der Prozess ist außer Kontrolle) diese Abweichungen aber nicht durch die Durchführung verursacht werden, den die Standardabweichung innerhalb der Gruppen ist nicht signifikant anders als zwischen den Gruppen (S-bar Chart)

controlchart

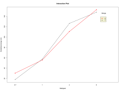
Die Varianzanalyse zeigt, dass der Mahlgrad den signifikant grössten Einfluss auf den Extraktionszeit hat.

Anova

In der Interaktion gut erkennbar ist, wie wenig Einfluss im Vergleich die Kaffeemenge hat. Teilweise scheint eine höhere Kaffeemenge sogar zu einer höheren Extraktionsmenge zu führen.

20110423_interaction

Für meine Situation zeichnet sich die Kombination 7 (7g Espresso und Mahlgrad 7) als die Beste ab

User Status

Du bist nicht angemeldet.

Aktuelle Beiträge

Signifikanter Shift
Nun habe ich die Messungen vor und nach der "Verbesserung"...
statgolfer - 2. Mai, 15:57
Prozess verbessert
Nach den ersten 17 Espressi mit dem adjustierten Prozess...
statgolfer - 25. Apr, 22:14
Neue Mühle und Mahlgrad...
Für meinen Espresso (Schreyögg Kaffee Exquisit) habe...
statgolfer - 25. Apr, 20:50
Analyseergebnisse
Für die richtige Extraktionsmenge in 25 Sekunden sind...
statgolfer - 25. Apr, 11:59
Qualitätskriterien
Das Istituto Nazionale Espresso Italiano gibt folgende...
statgolfer - 24. Apr, 22:50

Suche

 

Status

Online seit 5401 Tagen
Zuletzt aktualisiert: 2. Mai, 15:57

Credits


01_Define
02_Measure
03_Analyze
04_Improve
05_Control
Profil
Abmelden
Weblog abonnieren